Официальное опубликование правовых актов
ОФИЦИАЛЬНОЕ ОПУБЛИКОВАНИЕ
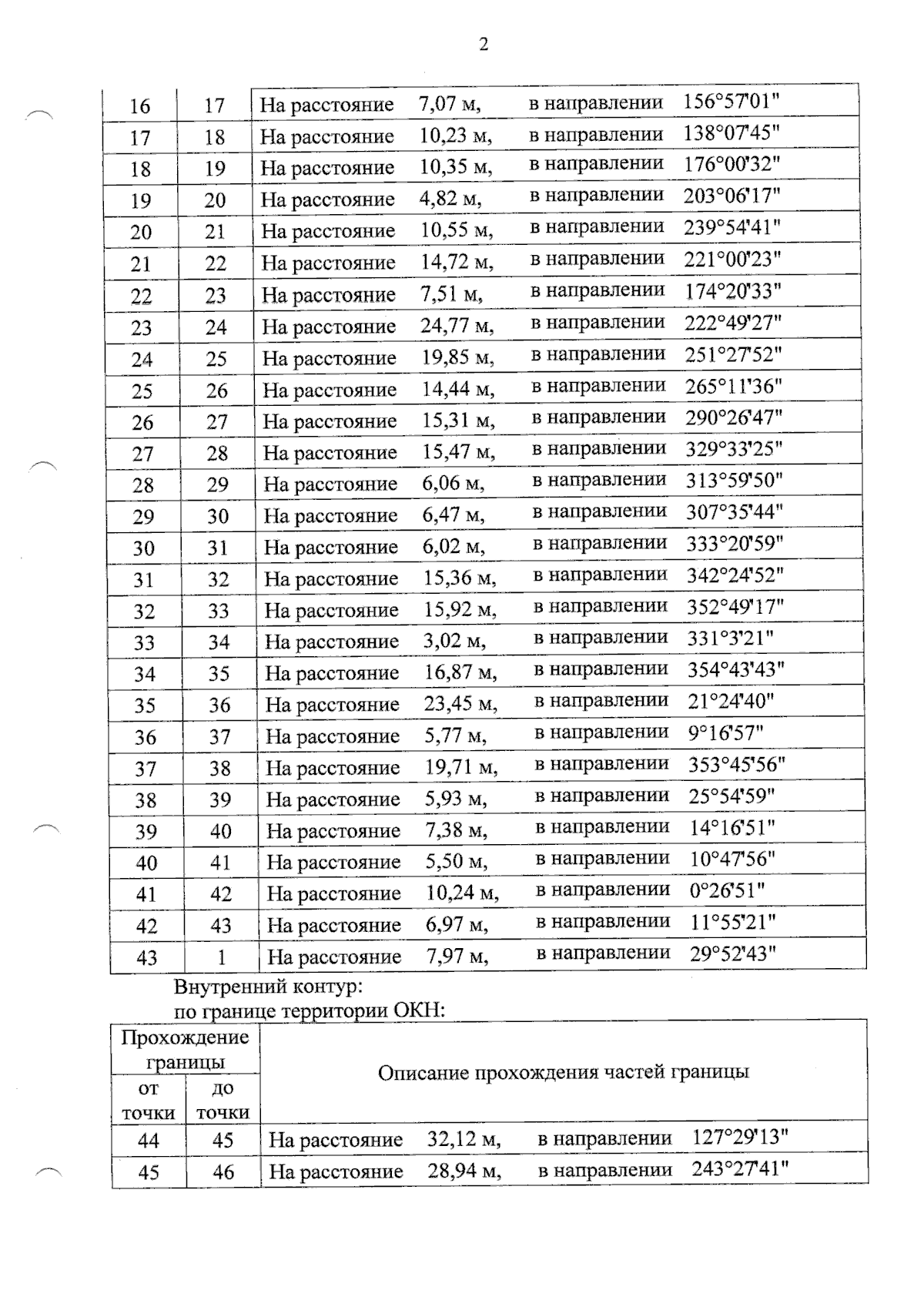
Распоряжение Министерства культуры Мурманской области от 07.02.2025 № 10
"Об установлении зоны охраны (зоны охраняемого природного ландшафта) объекта культурного наследия федерального значения "Екатерининский копец", 1826 г., местонахождение (адрес): Мурманская область, Печенгский район, мыс Ворьема, а также режима использования земель и земельных участков, требований к градостроительным регламентам в границах данной зоны"
(Зарегистрирован 10.02.2025 № 12-2025-3 )
Номер опубликования: 5101202502110002
Дата опубликования: 11.02.2025
Страница №4 из 8:
Увеличить