Официальное опубликование правовых актов
ОФИЦИАЛЬНОЕ ОПУБЛИКОВАНИЕ
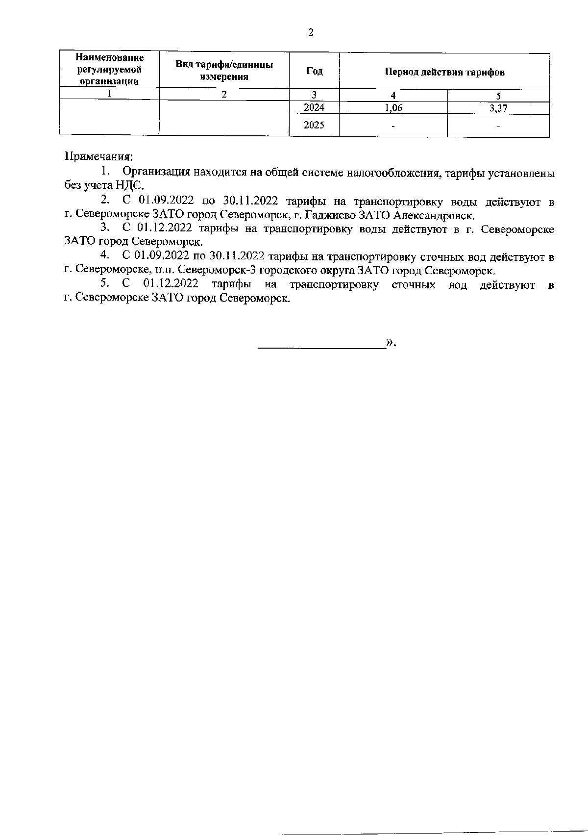
Постановление Комитета по тарифному регулированию Мурманской области от 20.12.2024 № 51/57
"О внесении изменений в постановление Комитета по тарифному регулированию Мурманской области от 16.12.2020 № 55/7 в связи с корректировкой тарифов, ранее установленных ФГБУ "ЦЖКУ" Минобороны России на 2025 год"
Номер опубликования: 5101202412230119
Дата опубликования: 23.12.2024
Страница №8 из 37:
Увеличить