Официальное опубликование правовых актов
ОФИЦИАЛЬНОЕ ОПУБЛИКОВАНИЕ
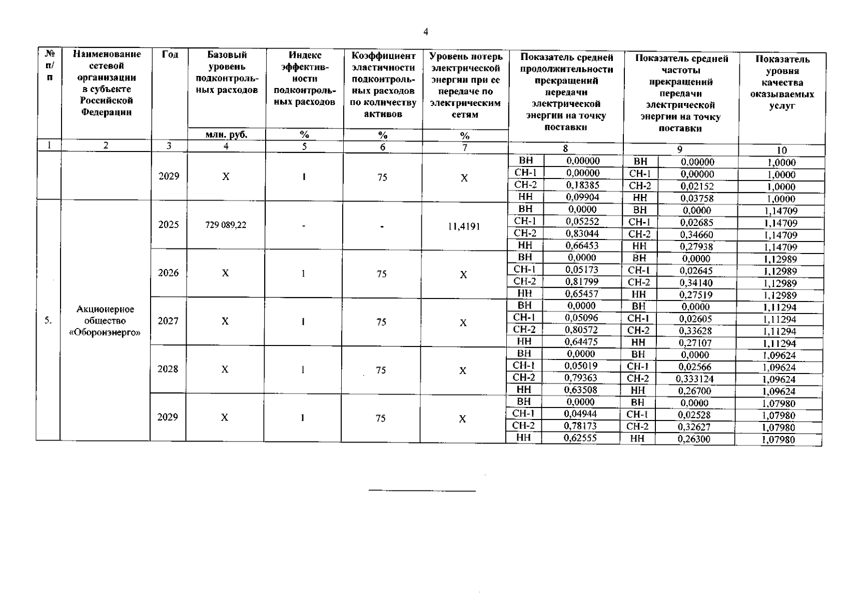
Постановление Комитета по тарифному регулированию Мурманской области от 10.12.2024 № 45/3
"Об установлении необходимой валовой выручки территориальных сетевых организаций Мурманской области на долгосрочный период регулирования (без учета оплаты потерь) и долгосрочных параметров регулирования для территориальных сетевых организаций Мурманской области"
Номер опубликования: 5101202412110009
Дата опубликования: 11.12.2024
Страница №6 из 6:
Увеличить