Официальное опубликование правовых актов
ОФИЦИАЛЬНОЕ ОПУБЛИКОВАНИЕ
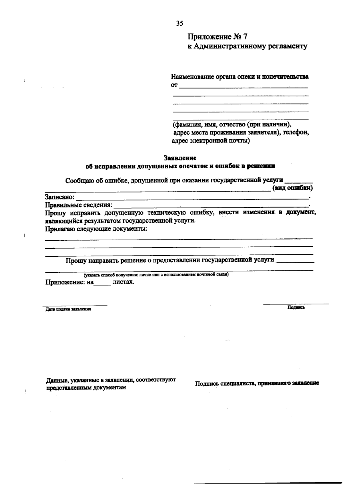
Приказ Министерства труда и социального развития Мурманской области от 16.09.2024 № 595
"Об утверждении административного регламента по предоставлению государственной услуги "Выдача согласия на установление отцовства в отношении недееспособного гражданина"
Номер опубликования: 5101202409170003
Дата опубликования: 17.09.2024
Страница №37 из 43:
Увеличить