Официальное опубликование правовых актов
ОФИЦИАЛЬНОЕ ОПУБЛИКОВАНИЕ
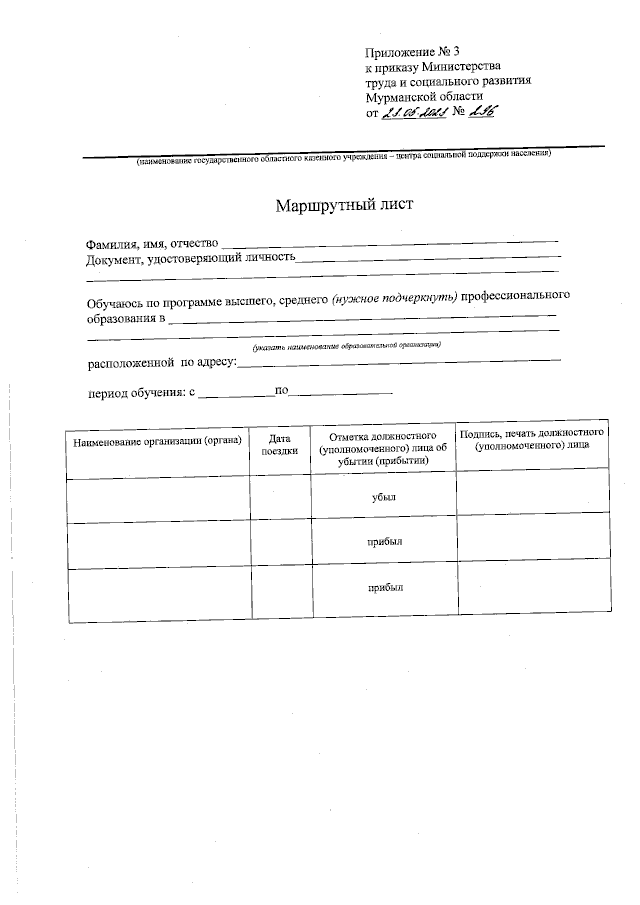
Приказ Министерства труда и социального развития Мурманской области от 23.05.2023 № 296
"Об утверждении форм документов"
Номер опубликования: 5101202305240001
Дата опубликования: 24.05.2023
Страница №8 из 8:
Увеличить