Официальное опубликование правовых актов
ОФИЦИАЛЬНОЕ ОПУБЛИКОВАНИЕ
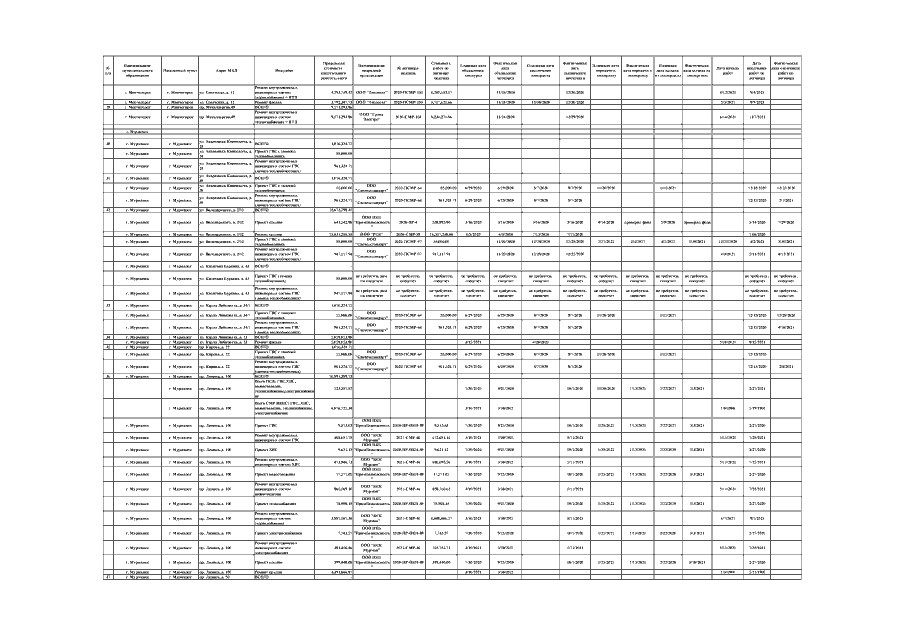
Приказ Министерства строительства Мурманской области от 29.06.2021 № 364
"Об утверждении Плана-графика производства работ по разработке проектной документации и выполнению капитального ремонта в рамках краткосрочного плана реализации региональной программы капитального ремонта общего имущества многоквартирных домов в Мурманской области на 2021 год"
Номер опубликования: 5101202106290001
Дата опубликования: 29.06.2021
Страница №5 из 19:
Увеличить