Официальное опубликование правовых актов
ОФИЦИАЛЬНОЕ ОПУБЛИКОВАНИЕ
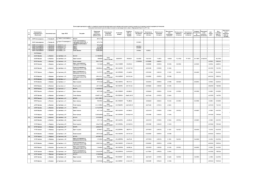
Приказ Министерства строительства Мурманской области от 16.02.2021 № 59
"Об утверждении Плана-графика производства работ по разработке проектной документации и выполнению капитального ремонта в рамках краткосрочного плана реализации региональной программы капитального ремонта общего имущества многоквартирных домов в Мурманской области на 2021 год"
Номер опубликования: 5101202102180004
Дата опубликования: 18.02.2021
Страница №15 из 22:
Увеличить