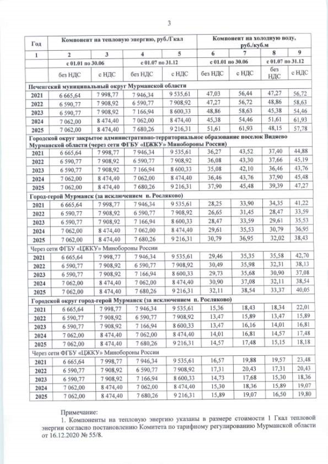
Постановление Комитета по тарифному регулированию Мурманской области от 16.12.2020 № 55/7
"Об установлении ФГБУ "ЦЖКУ" Минобороны России долгосрочных параметров регулирования и тарифов на услуги, оказываемые в сфере водоснабжения и водоотведения"
"Об установлении ФГБУ "ЦЖКУ" Минобороны России долгосрочных параметров регулирования и тарифов на услуги, оказываемые в сфере водоснабжения и водоотведения"
Номер опубликования: 5101202012220002
Дата опубликования:
22.12.2020
