Официальное опубликование правовых актов
ОФИЦИАЛЬНОЕ ОПУБЛИКОВАНИЕ
Распоряжение Министерства культуры Мурманской области от 29.09.2020 № 58
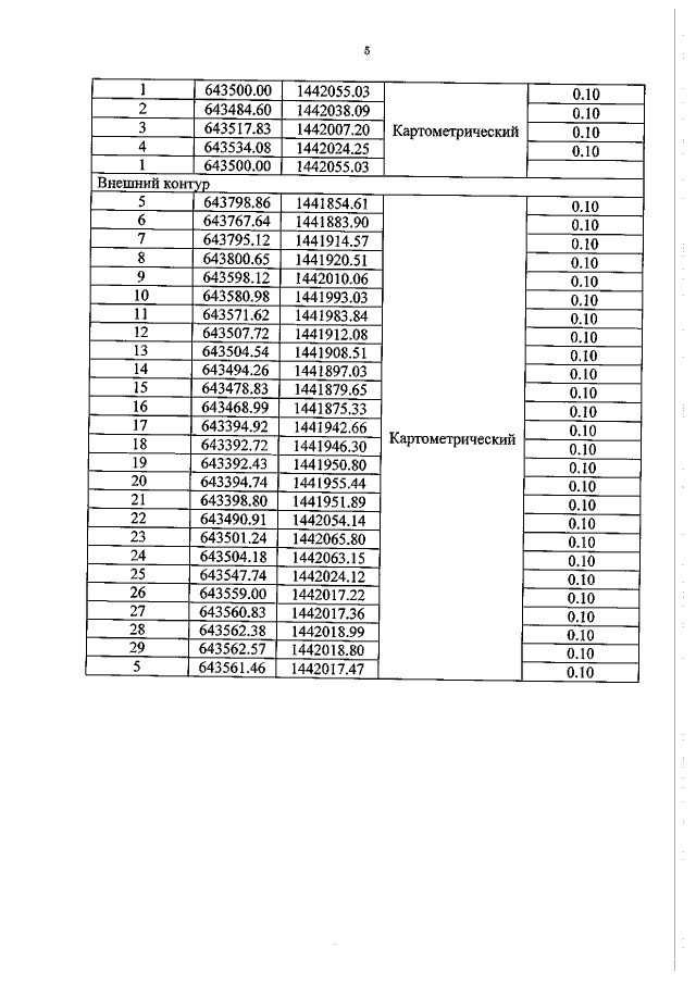
"Об утверждении границ территории и режима использования территории объекта культурного наследия регионального значения «Сквер на площади “Пять Углов”», 1960-1980-е гг., местонахождение (адрес): Мурманская область, город Мурманск, проспект Ленина, улица Воровского"
Номер опубликования: 5101202010020002
Дата опубликования: 02.10.2020
Страница №7 из 10:
Увеличить