Официальное опубликование правовых актов
ОФИЦИАЛЬНОЕ ОПУБЛИКОВАНИЕ
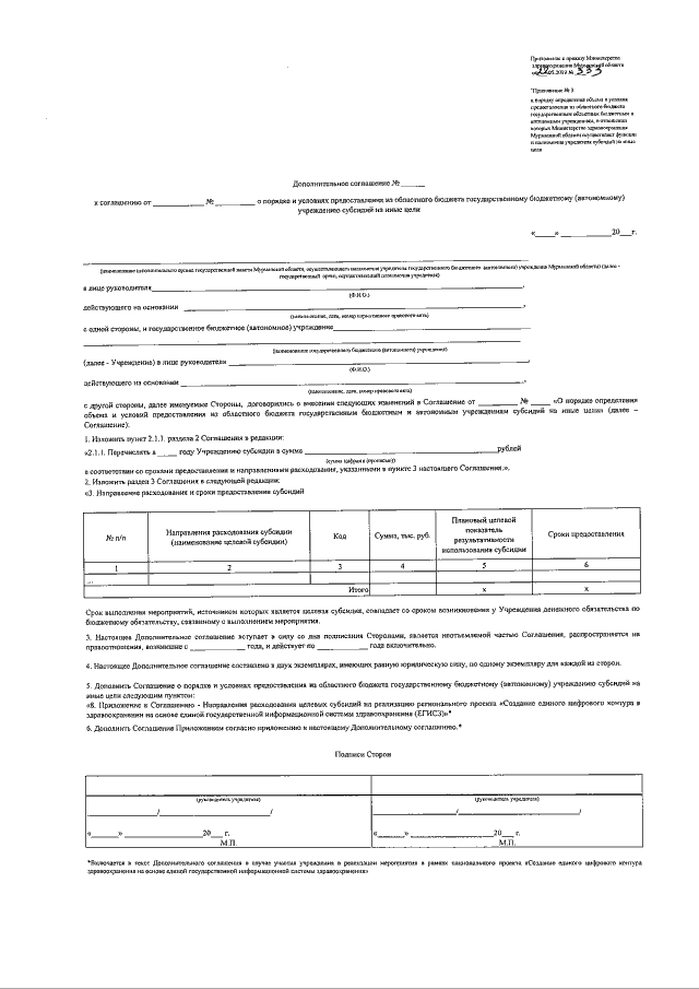
Приказ Министерства здравоохранения Мурманской области от 22.05.2019 № 333
"О внесении изменений в Порядок определения объема и условиях предоставления из областного бюджета государственным бюджетным и автономным учреждениям субсидий на иные цели"
Номер опубликования: 5101201905240001
Дата опубликования: 24.05.2019
Страница №3 из 4:
Увеличить