Официальное опубликование правовых актов
ОФИЦИАЛЬНОЕ ОПУБЛИКОВАНИЕ
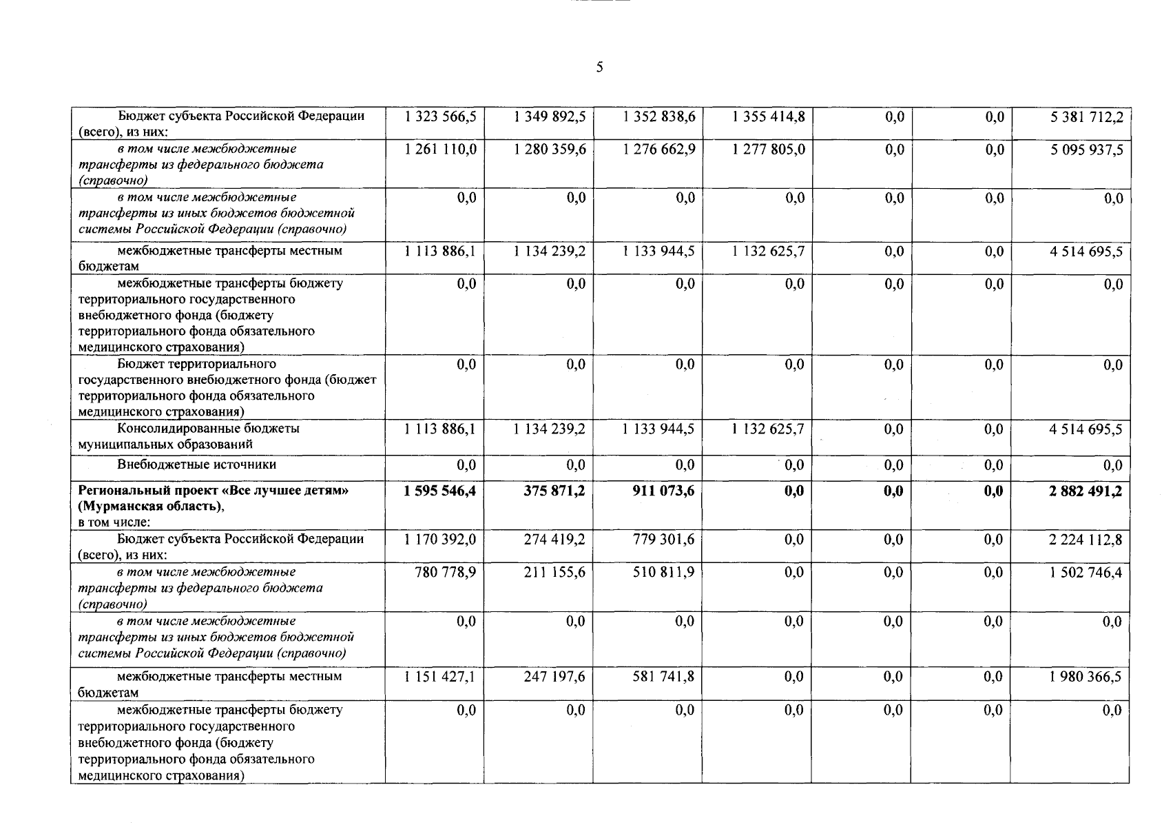
Постановление Правительства Мурманской области от 20.01.2026 № 14-ПП
"О внесении изменений в государственную программу Мурманской области "Образование и наука"
Номер опубликования: 5100202601260002
Дата опубликования: 26.01.2026
Страница №6 из 13:
Увеличить