Официальное опубликование правовых актов
ОФИЦИАЛЬНОЕ ОПУБЛИКОВАНИЕ
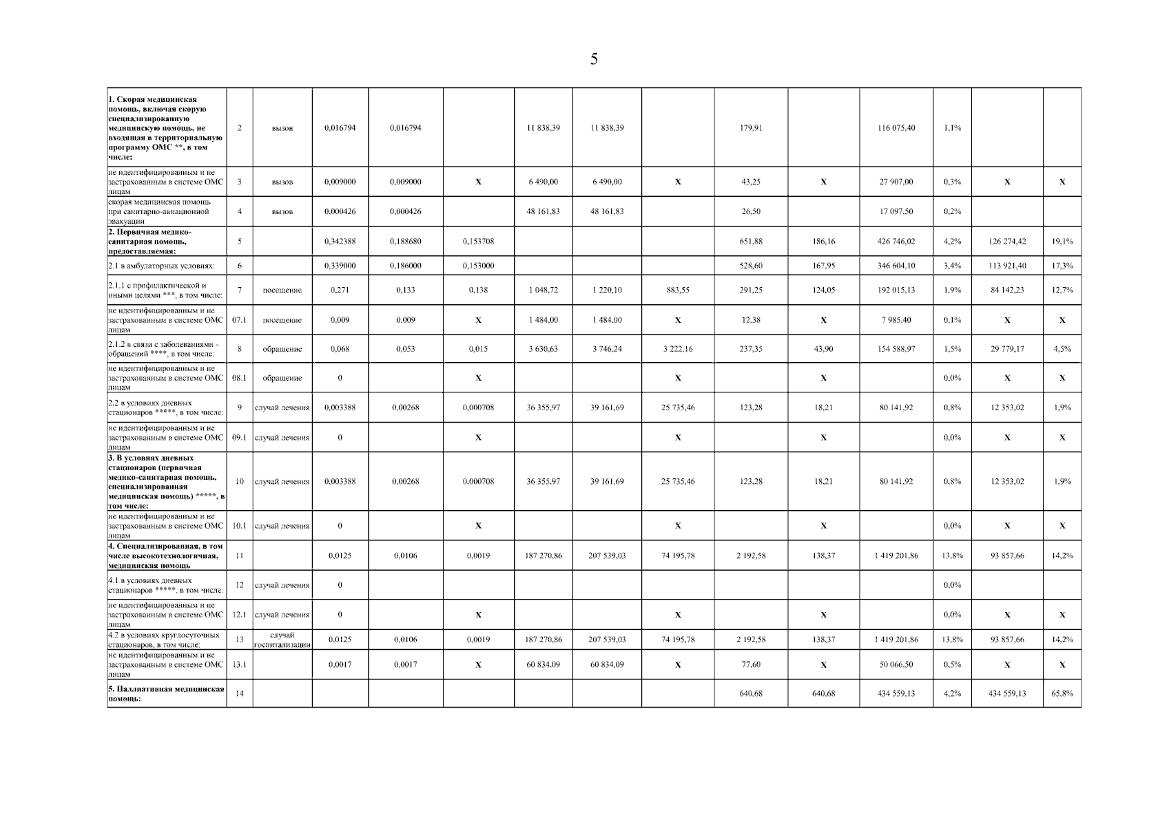
Постановление Правительства Мурманской области от 30.12.2025 № 972-ПП
"О внесении изменений в Территориальную программу государственных гарантий бесплатного оказания гражданам медицинской помощи в Мурманской области на 2025 год и на плановый период 2026 и 2027 годов"
Номер опубликования: 5100202601040025
Дата опубликования: 04.01.2026
Страница №6 из 45:
Увеличить