Официальное опубликование правовых актов
ОФИЦИАЛЬНОЕ ОПУБЛИКОВАНИЕ
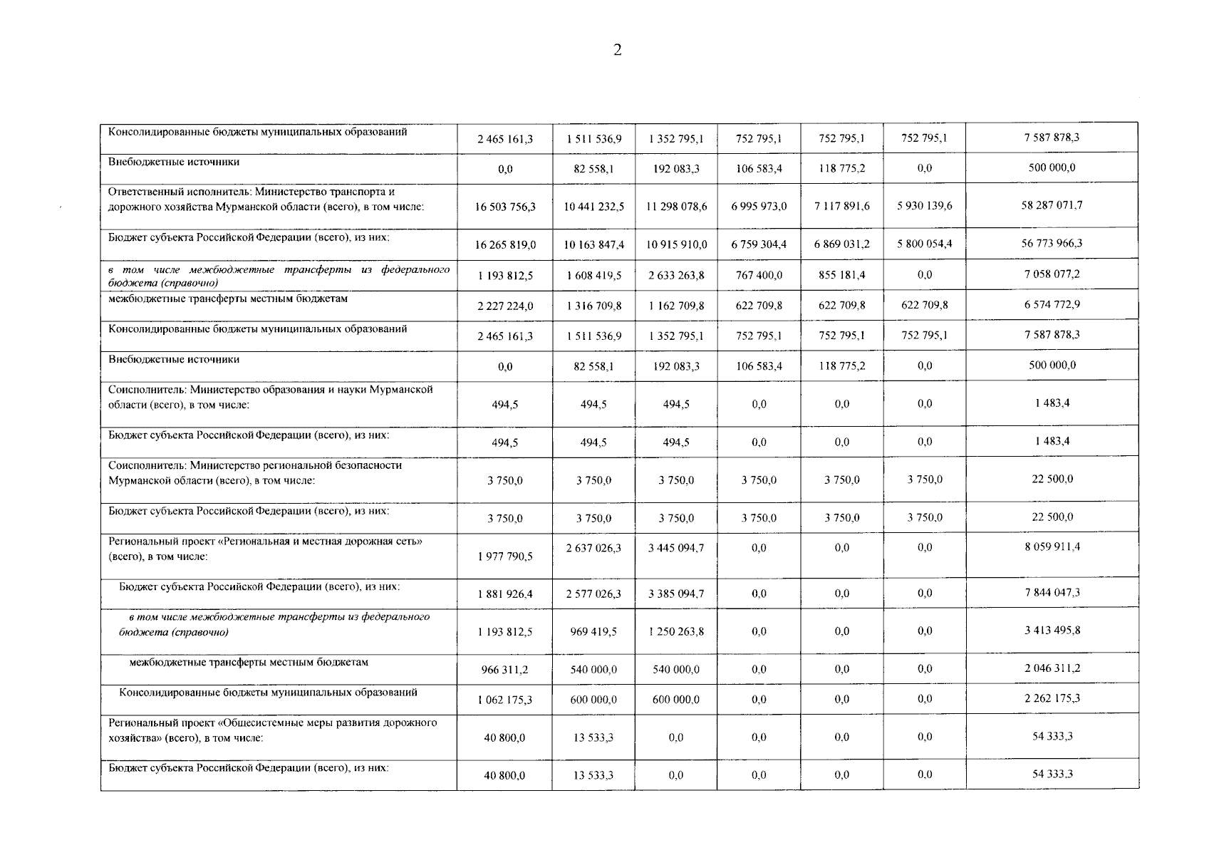
Постановление Правительства Мурманской области от 26.12.2025 № 952-ПП
"О внесении изменений в государственную программу Мурманской области "Транспортная система"
Номер опубликования: 5100202512290020
Дата опубликования: 29.12.2025
Страница №3 из 13:
Увеличить