Официальное опубликование правовых актов
ОФИЦИАЛЬНОЕ ОПУБЛИКОВАНИЕ
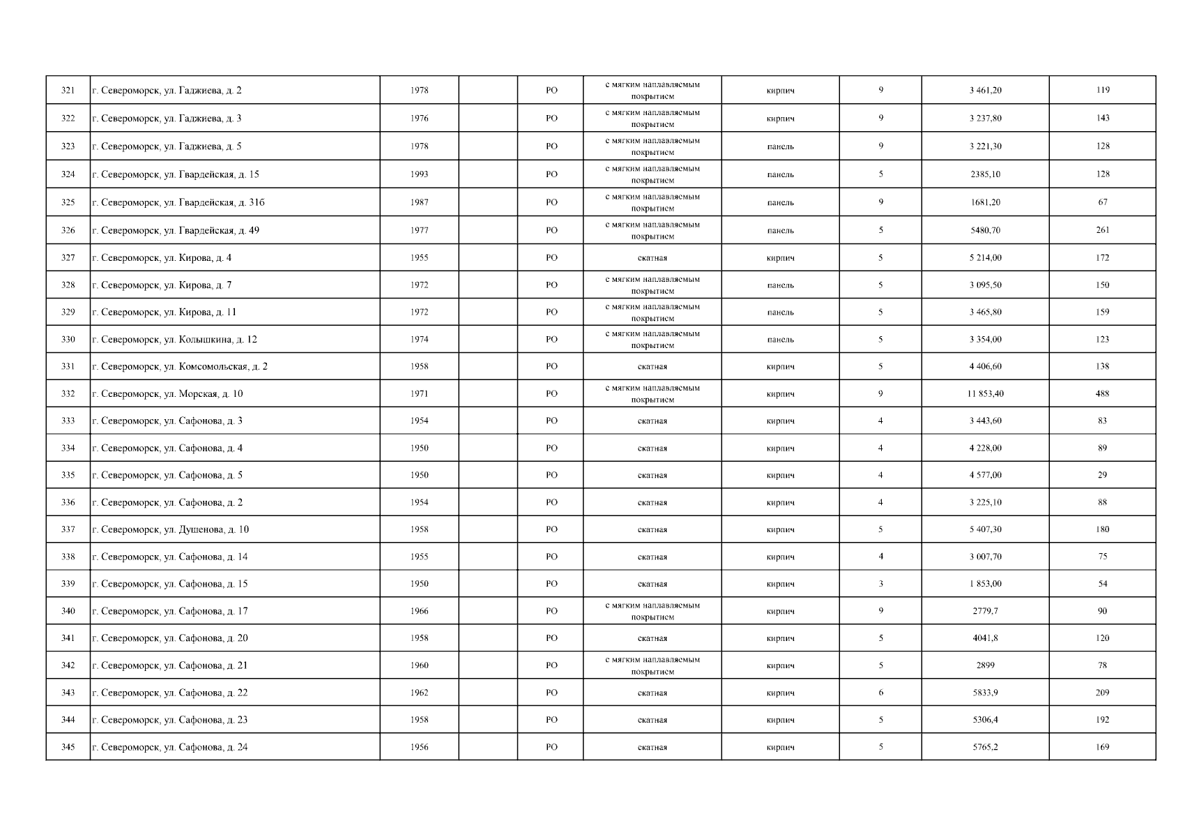
Постановление Правительства Мурманской области от 27.09.2025 № 622-ПП
"О внесении изменений в Краткосрочный план реализации региональной программы капитального ремонта общего имущества в многоквартирных домах, расположенных на территории Мурманской области, на 2023-2025 годы"
Номер опубликования: 5100202509300010
Дата опубликования: 30.09.2025
Страница №60 из 84:
Увеличить