Официальное опубликование правовых актов
ОФИЦИАЛЬНОЕ ОПУБЛИКОВАНИЕ
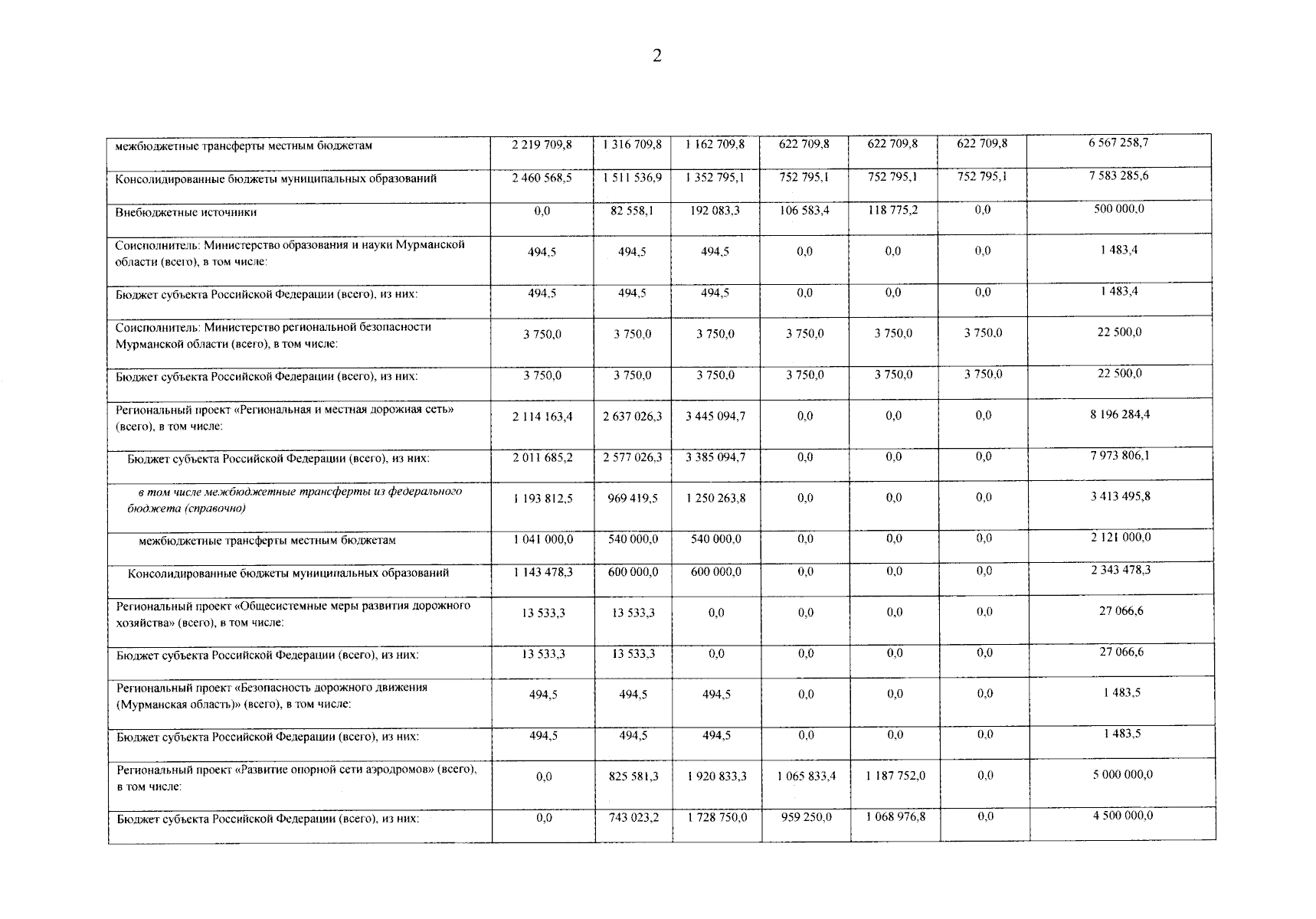
Постановление Правительства Мурманской области от 05.09.2025 № 578-ПП
"О внесении изменений в государственную программу Мурманской области "Транспортная система"
Номер опубликования: 5100202509050002
Дата опубликования: 05.09.2025
Страница №3 из 5:
Увеличить