Официальное опубликование правовых актов
ОФИЦИАЛЬНОЕ ОПУБЛИКОВАНИЕ
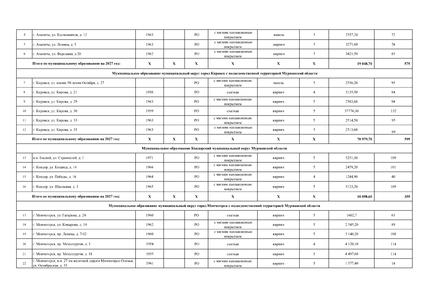
Постановление Правительства Мурманской области от 27.05.2025 № 363-ПП
"Об утверждении Краткосрочного плана реализации региональной программы капитального ремонта общего имущества в многоквартирных домах, расположенных на территории Мурманской области, на 2026-2028 годы"
Номер опубликования: 5100202506040020
Дата опубликования: 04.06.2025
Страница №17 из 48:
Увеличить