Официальное опубликование правовых актов
ОФИЦИАЛЬНОЕ ОПУБЛИКОВАНИЕ
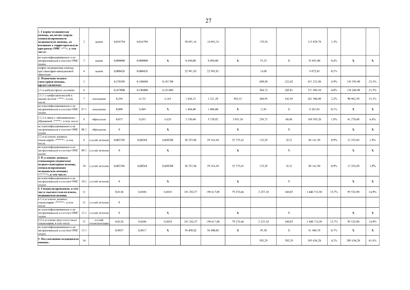
Постановление Правительства Мурманской области от 21.03.2025 № 197-ПП
"О внесении изменений в Территориальную программу государственных гарантий бесплатного оказания гражданам медицинской помощи в Мурманской области на 2025 год и на плановый период 2026 и 2027 годов"
Номер опубликования: 5100202503210005
Дата опубликования: 21.03.2025
Страница №28 из 182:
Увеличить