Официальное опубликование правовых актов
ОФИЦИАЛЬНОЕ ОПУБЛИКОВАНИЕ
Постановление Правительства Мурманской области от 03.03.2025 № 142-ПП
"О внесении изменений в постановление Правительства Мурманской области от 11.11.2020 № 775-ПП"
Номер опубликования: 5100202503040004
Дата опубликования: 04.03.2025
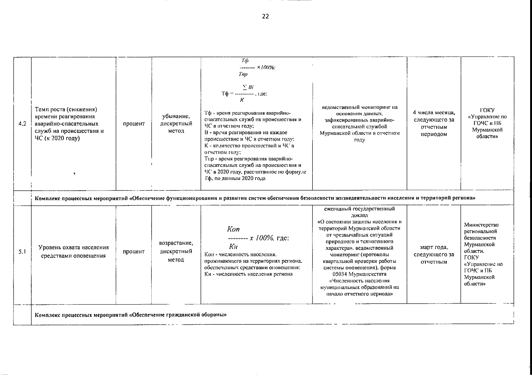
Страница №23 из 24:
Увеличить