Официальное опубликование правовых актов
ОФИЦИАЛЬНОЕ ОПУБЛИКОВАНИЕ
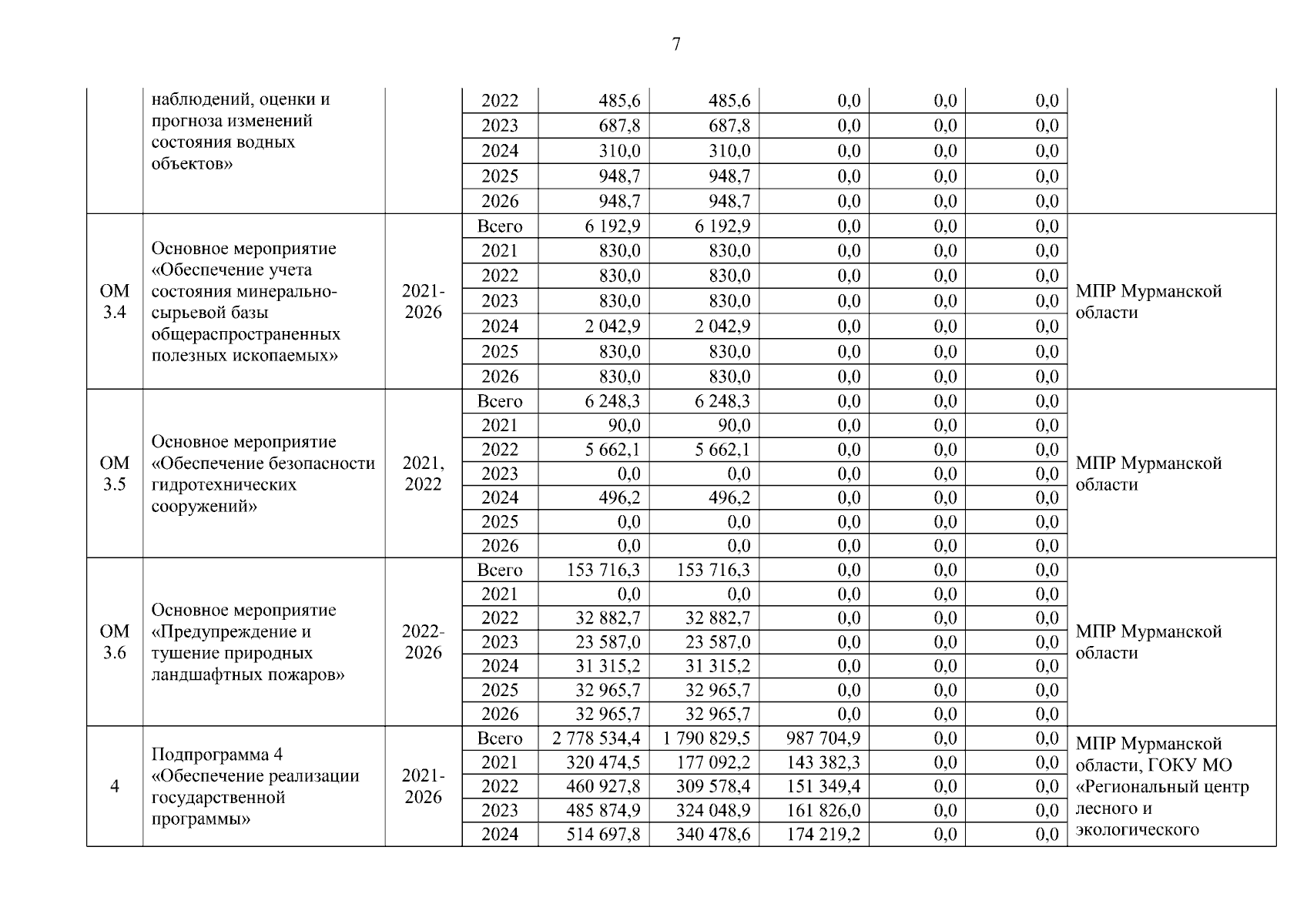
Постановление Правительства Мурманской области от 25.12.2024 № 945-ПП
"О внесении изменений в государственную программу Мурманской области "Природные ресурсы и экология"
Номер опубликования: 5100202412270004
Дата опубликования: 27.12.2024
Страница №8 из 43:
Увеличить