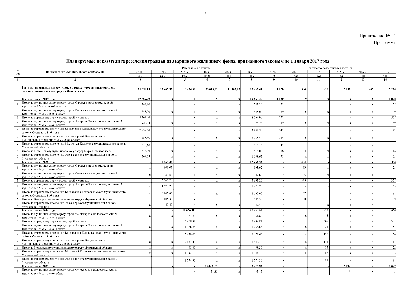
Постановление Правительства Мурманской области от 23.12.2024 № 926-ПП
"О внесении изменений в региональную адресную программу "Переселение граждан из аварийного жилищного фонда в Мурманской области" на 2019-2024 годы"
"О внесении изменений в региональную адресную программу "Переселение граждан из аварийного жилищного фонда в Мурманской области" на 2019-2024 годы"
Номер опубликования: 5100202412260030
Дата опубликования:
26.12.2024
