Официальное опубликование правовых актов
ОФИЦИАЛЬНОЕ ОПУБЛИКОВАНИЕ
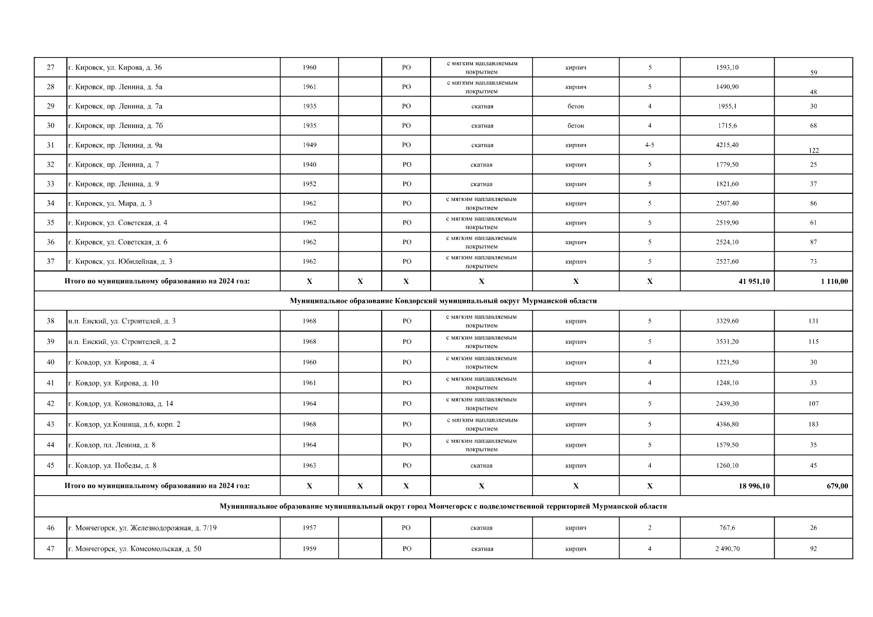
Постановление Правительства Мурманской области от 31.10.2024 № 733-ПП
"О внесении изменений в Краткосрочный план реализации региональной программы капитального ремонта общего имущества в многоквартирных домах, расположенных на территории Мурманской области, на 2023-2025 годы"
Номер опубликования: 5100202411020003
Дата опубликования: 02.11.2024
Страница №20 из 72:
Увеличить