Официальное опубликование правовых актов
ОФИЦИАЛЬНОЕ ОПУБЛИКОВАНИЕ
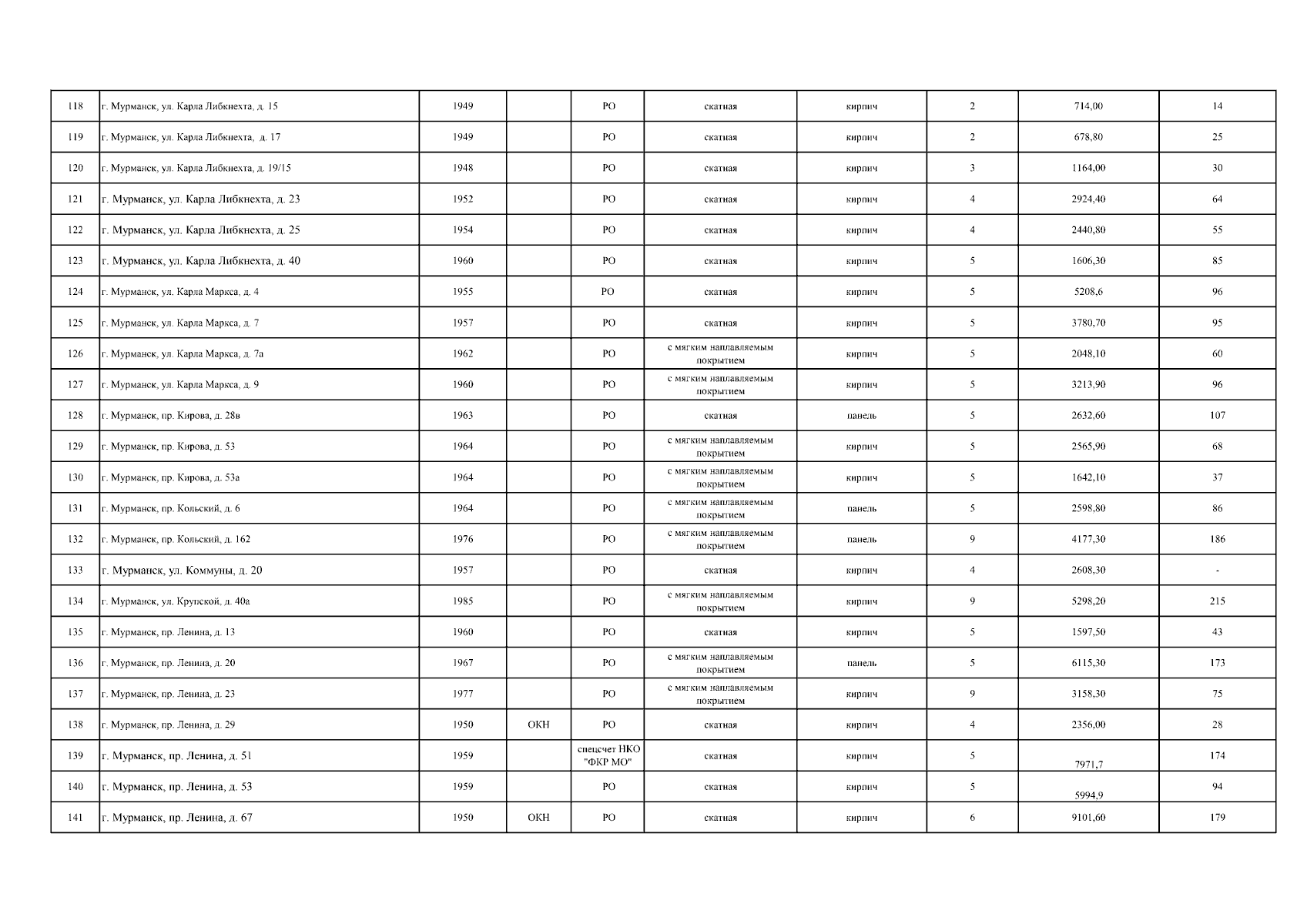
Постановление Правительства Мурманской области от 16.08.2024 № 558-ПП
"О внесении изменений в Краткосрочный план реализации региональной программы капитального ремонта общего имущества в многоквартирных домах, расположенных на территории Мурманской области, на 2023-2025 годы"
Номер опубликования: 5100202408190008
Дата опубликования: 19.08.2024
Страница №24 из 70:
Увеличить