Официальное опубликование правовых актов
ОФИЦИАЛЬНОЕ ОПУБЛИКОВАНИЕ
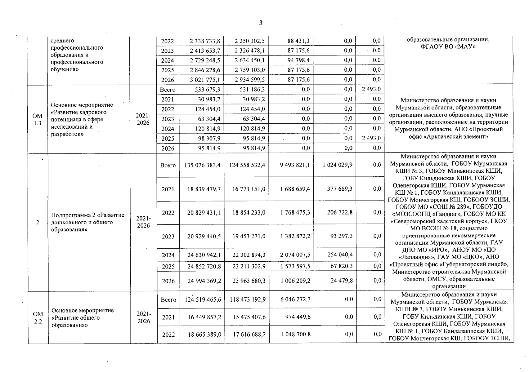
Постановление Правительства Мурманской области от 12.07.2024 № 468-ПП
"О внесении изменений в государственную программу Мурманской области "Образование и наука"
Номер опубликования: 5100202407150013
Дата опубликования: 15.07.2024
Страница №4 из 14:
Увеличить