Официальное опубликование правовых актов
ОФИЦИАЛЬНОЕ ОПУБЛИКОВАНИЕ
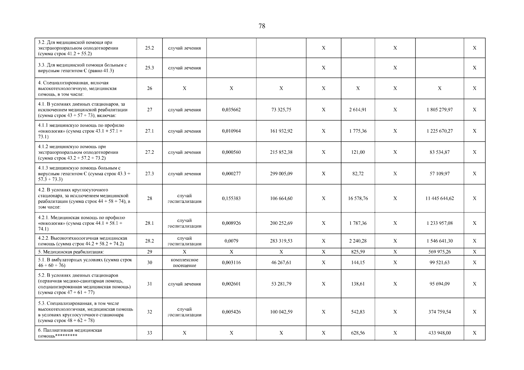
Постановление Правительства Мурманской области от 12.04.2024 № 236-ПП
"О внесении изменений в Территориальную программу государственных гарантий бесплатного оказания гражданам медицинской помощи в Мурманской области на 2024 год и на плановый период 2025 и 2026 годов"
Номер опубликования: 5100202404160012
Дата опубликования: 16.04.2024
Страница №79 из 124:
Увеличить