Официальное опубликование правовых актов
ОФИЦИАЛЬНОЕ ОПУБЛИКОВАНИЕ
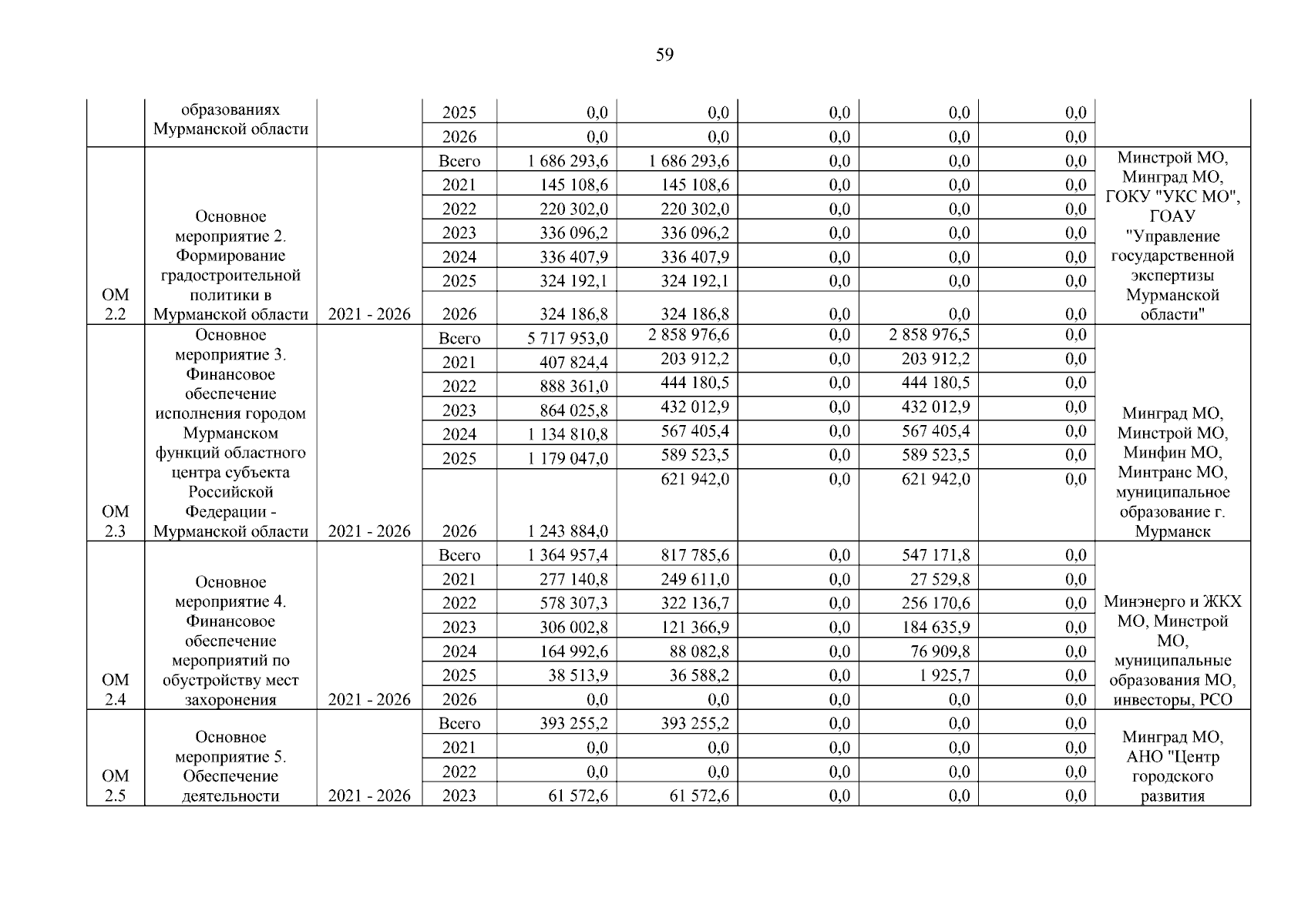
Постановление Правительства Мурманской области от 09.02.2024 № 66-ПП
"О внесении изменений в государственную программу Мурманской области "Комфортное жилье и городская среда"
Номер опубликования: 5100202402120013
Дата опубликования: 12.02.2024
Страница №60 из 75:
Увеличить