Официальное опубликование правовых актов
ОФИЦИАЛЬНОЕ ОПУБЛИКОВАНИЕ
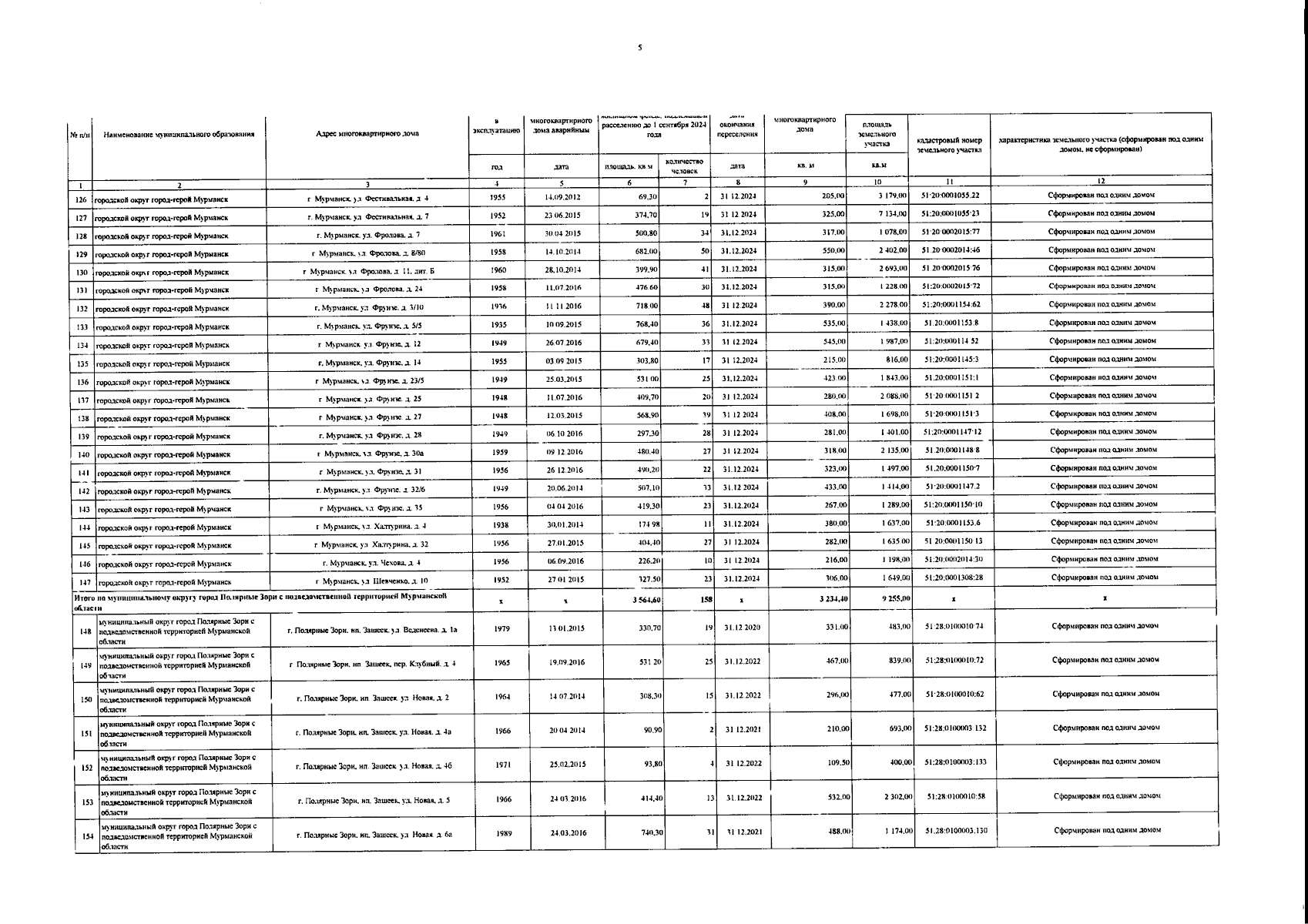
Постановление Правительства Мурманской области от 02.02.2024 № 42-ПП
"О внесении изменений в региональную адресную программу "Переселение граждан из аварийного жилищного фонда в Мурманской области" на 2019-2024 годы"
Номер опубликования: 5100202402060007
Дата опубликования: 06.02.2024
Страница №8 из 25:
Увеличить