Официальное опубликование правовых актов
ОФИЦИАЛЬНОЕ ОПУБЛИКОВАНИЕ
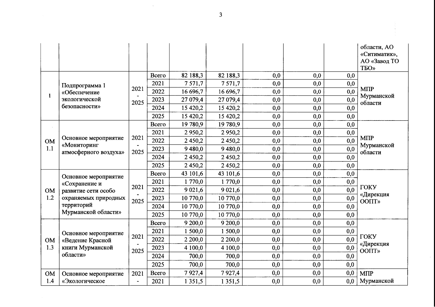
Постановление Правительства Мурманской области от 01.09.2023 № 630-ПП
"О внесении изменений в государственную программу Мурманской области "Природные ресурсы и экология"
Номер опубликования: 5100202309050005
Дата опубликования: 05.09.2023
Страница №4 из 11:
Увеличить