Официальное опубликование правовых актов
ОФИЦИАЛЬНОЕ ОПУБЛИКОВАНИЕ
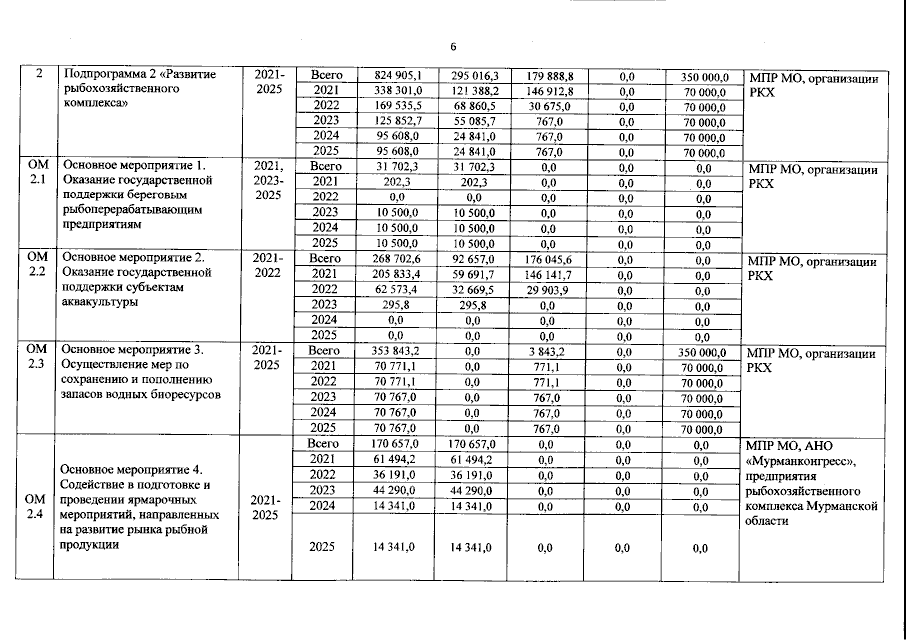
Постановление Правительства Мурманской области от 28.07.2023 № 546-ПП
"О внесении изменений в государственную программу Мурманской области "Рыбное и сельское хозяйство"
Номер опубликования: 5100202307310005
Дата опубликования: 31.07.2023
Страница №7 из 15:
Увеличить