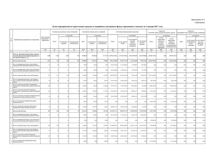
Постановление Правительства Мурманской области от 14.04.2023 № 287-ПП
"О внесении изменений в региональную адресную программу "Переселение граждан из аварийного жилищного фонда в Мурманской области" на 2019-2024 годы"
"О внесении изменений в региональную адресную программу "Переселение граждан из аварийного жилищного фонда в Мурманской области" на 2019-2024 годы"
Номер опубликования: 5100202304180002
Дата опубликования:
18.04.2023
