Официальное опубликование правовых актов
ОФИЦИАЛЬНОЕ ОПУБЛИКОВАНИЕ
Постановление Правительства Мурманской области от 26.07.2021 № 515-ПП
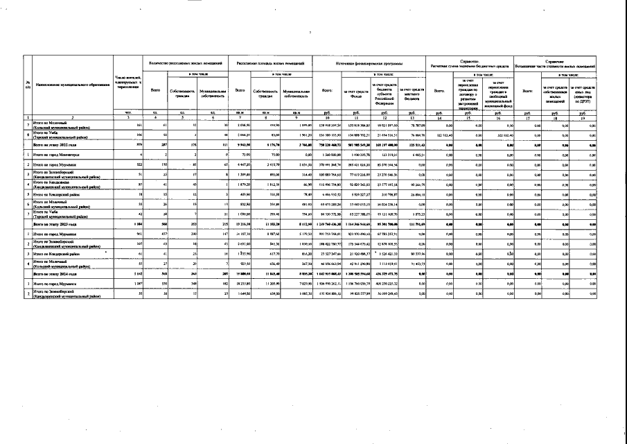
"О внесении изменений в региональную адресную программу "Переселение граждан из аварийного жилищного фонда в Мурманской области" на 2019-2025 годы
Номер опубликования: 5100202107280006
Дата опубликования: 28.07.2021
Страница №16 из 19:
Увеличить