Официальное опубликование правовых актов
ОФИЦИАЛЬНОЕ ОПУБЛИКОВАНИЕ
Постановление Правительства Мурманской области от 17.02.2021 № 86-ПП
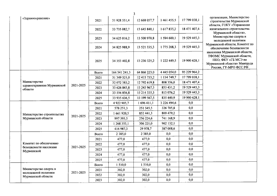
"О внесении изменений в государственную программу Мурманской области "Здравоохранение"
Номер опубликования: 5100202102180006
Дата опубликования: 18.02.2021
Страница №4 из 12:
Увеличить