Официальное опубликование правовых актов
ОФИЦИАЛЬНОЕ ОПУБЛИКОВАНИЕ
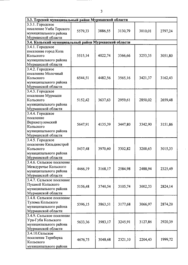
Постановление Правительства Мурманской области от 15.02.2021 № 81-ПП
"О региональных стандартах стоимости жилищно-коммунальных услуг на 2021 год"
Номер опубликования: 5100202102180001
Дата опубликования: 18.02.2021
Страница №4 из 12:
Увеличить