Официальное опубликование правовых актов
ОФИЦИАЛЬНОЕ ОПУБЛИКОВАНИЕ
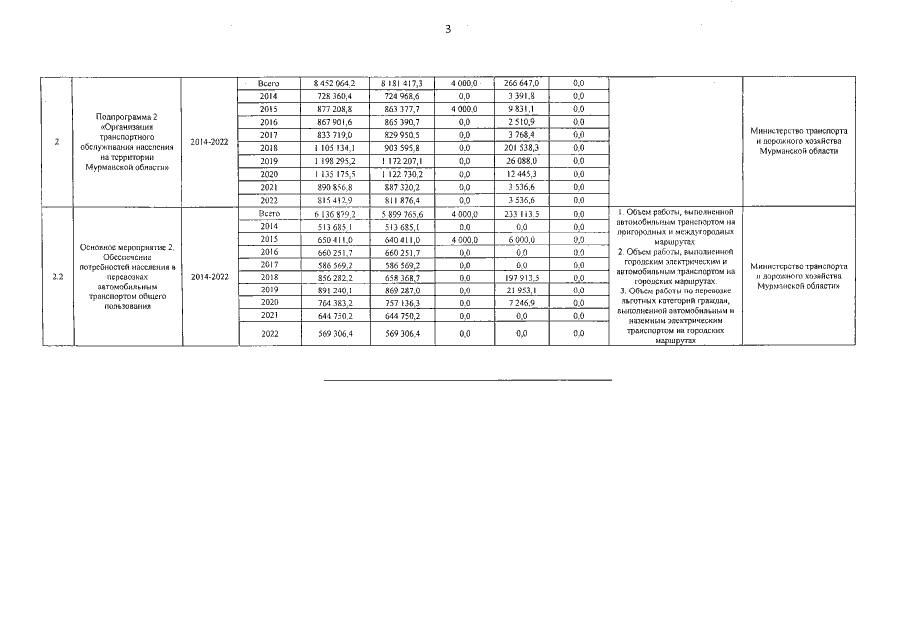
Постановление Правительства Мурманской области от 24.12.2020 № 934-ПП
"О внесении изменений в государственную программу Мурманской области "Развитие транспортной системы"
Номер опубликования: 5100202012260013
Дата опубликования: 26.12.2020
Страница №4 из 4:
Увеличить