Официальное опубликование правовых актов
ОФИЦИАЛЬНОЕ ОПУБЛИКОВАНИЕ
Постановление Правительства Мурманской области от 08.12.2020 № 855-ПП
"О внесении изменений в постановление Правительства Мурманской области от 07.10.2016 № 492-ПП/10"
Номер опубликования: 5100202012170003
Дата опубликования: 17.12.2020
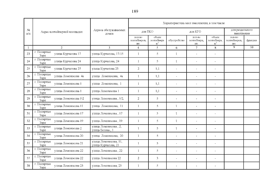
Страница №190 из 305:
Увеличить