Официальное опубликование правовых актов
ОФИЦИАЛЬНОЕ ОПУБЛИКОВАНИЕ
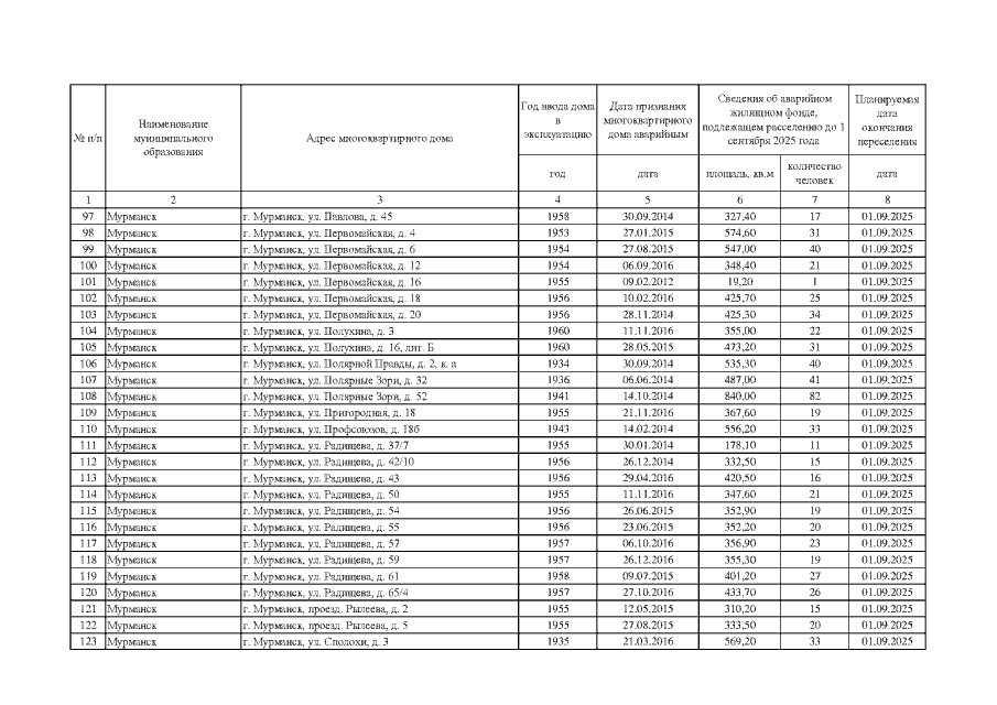
Постановление Правительства Мурманской области от 08.12.2020 № 854-ПП
"О внесении изменений в региональную адресную программу "Переселение граждан из аварийного жилищного фонда в Мурманской области" на 2019-2025 годы"
Номер опубликования: 5100202012100001
Дата опубликования: 10.12.2020
Страница №10 из 24:
Увеличить