Официальное опубликование правовых актов
ОФИЦИАЛЬНОЕ ОПУБЛИКОВАНИЕ
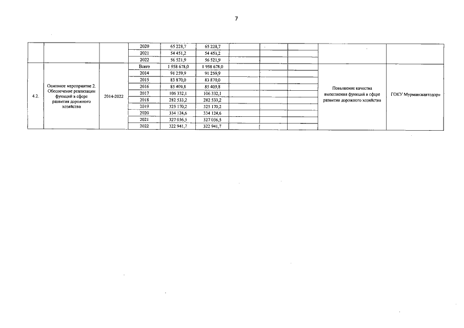
Постановление Правительства Мурманской области от 08.10.2020 № 687-ПП
"О внесении изменений в государственную программу Мурманской области "Развитие транспортной системы"
Номер опубликования: 5100202010120004
Дата опубликования: 12.10.2020
Страница №8 из 10:
Увеличить