Официальное опубликование правовых актов
ОФИЦИАЛЬНОЕ ОПУБЛИКОВАНИЕ
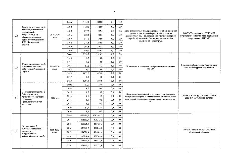
Постановление Правительства Мурманской области от 10.05.2020 № 290-ПП
"О внесении изменений в государственную программу Мурманской области "Обеспечение общественного порядка и безопасности населения региона"
Номер опубликования: 5100202005150013
Дата опубликования: 15.05.2020
Страница №8 из 10:
Увеличить