Официальное опубликование правовых актов
ОФИЦИАЛЬНОЕ ОПУБЛИКОВАНИЕ
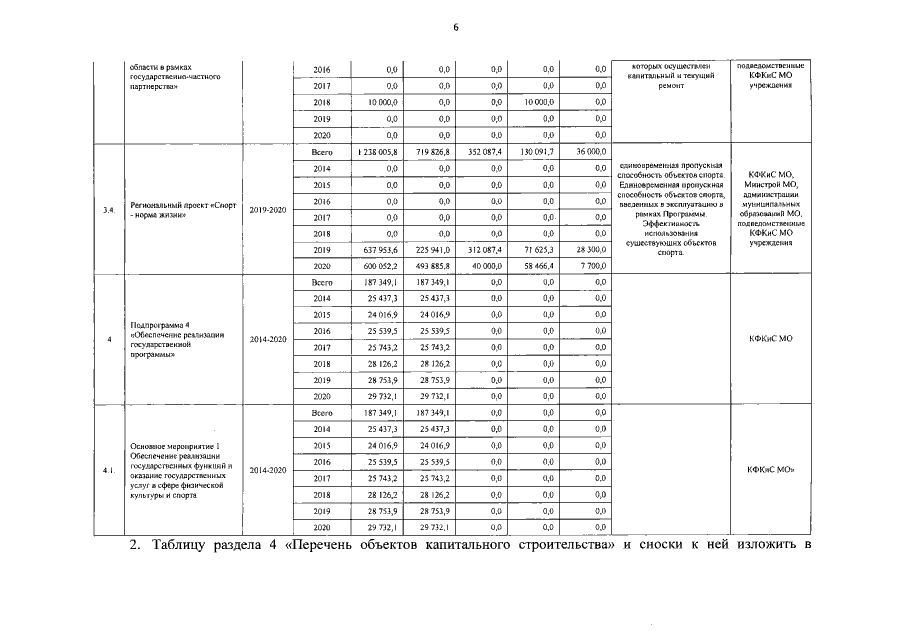
Постановление Правительства Мурманской области от 20.11.2019 № 522-ПП
"О внесении изменений в государственную программу Мурманской области "Развитие физической культуры и спорта"
Номер опубликования: 5100201911220001
Дата опубликования: 22.11.2019
Страница №7 из 14:
Увеличить