Официальное опубликование правовых актов
ОФИЦИАЛЬНОЕ ОПУБЛИКОВАНИЕ
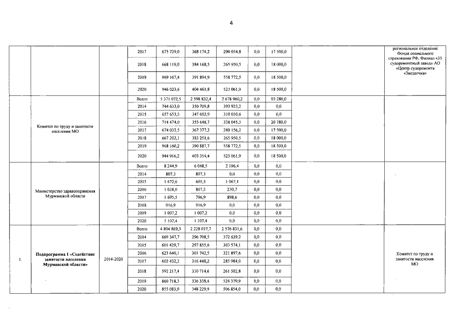
Постановление Правительства Мурманской области от 28.10.2019 № 497-ПП
"О внесении изменений в государственную программу Мурманской области "Управление развитием регионального рынка труда"
Номер опубликования: 5100201910310004
Дата опубликования: 31.10.2019
Страница №5 из 15:
Увеличить