Официальное опубликование правовых актов
ОФИЦИАЛЬНОЕ ОПУБЛИКОВАНИЕ
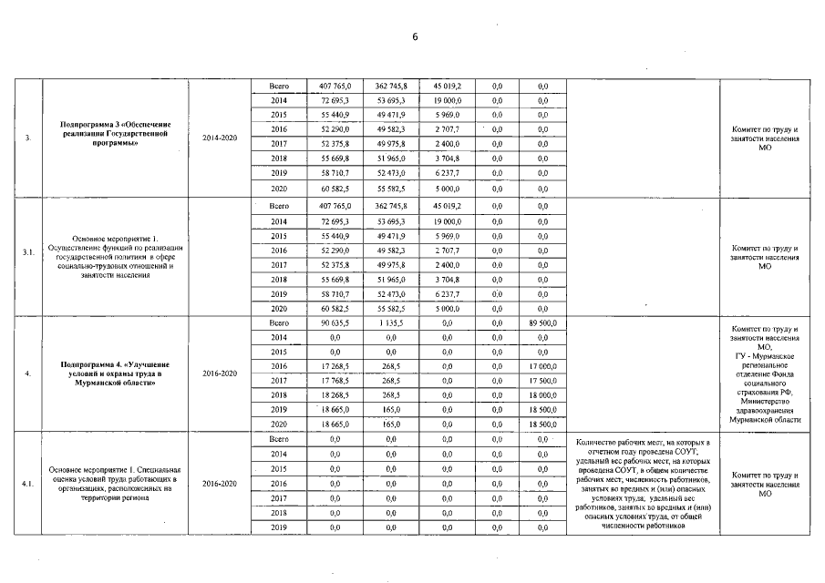
Постановление Правительства Мурманской области от 30.08.2019 № 409-ПП
"О внесении изменений в государственную программу Мурманской области "Управление развитием регионального рынка труда"
Номер опубликования: 5100201909040004
Дата опубликования: 04.09.2019
Страница №7 из 13:
Увеличить