Официальное опубликование правовых актов
ОФИЦИАЛЬНОЕ ОПУБЛИКОВАНИЕ
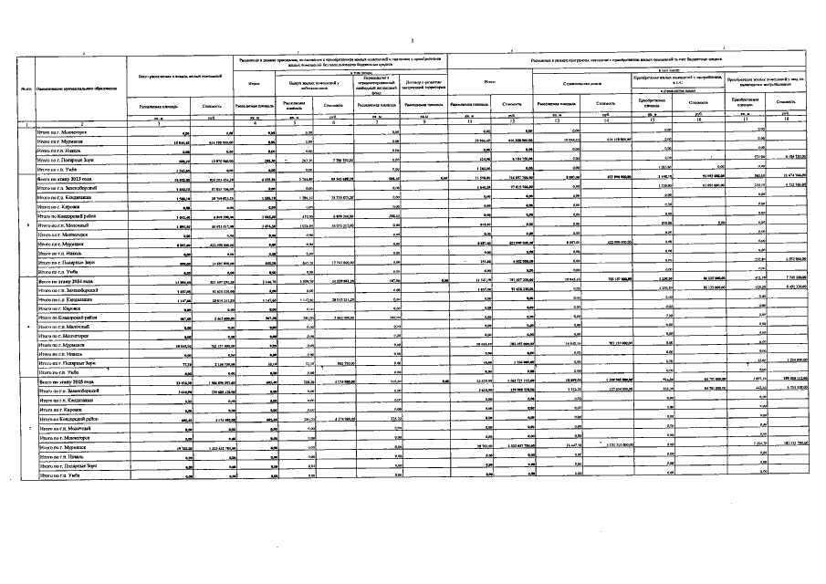
Постановление Правительства Мурманской области от 01.04.2019 № 153-ПП
"Об утверждении программы "Переселение граждан из аварийного жилищного фонда в Мурманской области" на 2019-2025 годы"
Номер опубликования: 5100201904090001
Дата опубликования: 09.04.2019
Страница №32 из 52:
Увеличить