Официальное опубликование правовых актов
ОФИЦИАЛЬНОЕ ОПУБЛИКОВАНИЕ
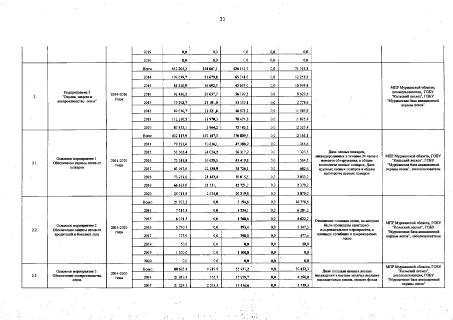
Постановление Правительства Мурманской области от 07.03.2019 № 105-ПП
"О внесении изменений в государственную программу Мурманской области "Охрана окружающей среды и воспроизводство природных ресурсов"
Номер опубликования: 5100201903150009
Дата опубликования: 15.03.2019
Страница №32 из 38:
Увеличить