Официальное опубликование правовых актов
ОФИЦИАЛЬНОЕ ОПУБЛИКОВАНИЕ
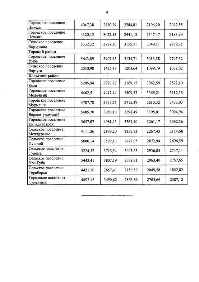
Постановление Правительства Мурманской области от 19.02.2019 № 63-ПП
"О региональных стандартах стоимости жилищно-коммунальных услуг на 2019 год"
Номер опубликования: 5100201902210010
Дата опубликования: 21.02.2019
Страница №7 из 7:
Увеличить