Официальное опубликование правовых актов
ОФИЦИАЛЬНОЕ ОПУБЛИКОВАНИЕ
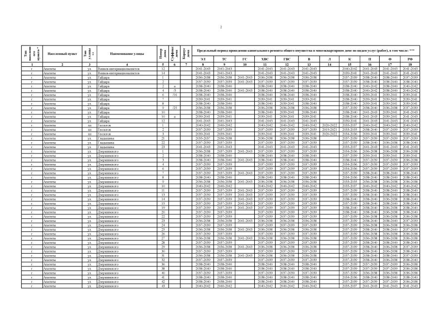
Постановление Правительства Мурманской области от 26.12.2018 № 617-ПП
"О внесении изменений в региональную программу капитального ремонта общего имущества в многоквартирных домах, расположенных на территории Мурманской области, на 2014 - 2043 годы"
Номер опубликования: 5100201812280003
Дата опубликования: 28.12.2018
Страница №3 из 125:
Увеличить