Официальное опубликование правовых актов
ОФИЦИАЛЬНОЕ ОПУБЛИКОВАНИЕ
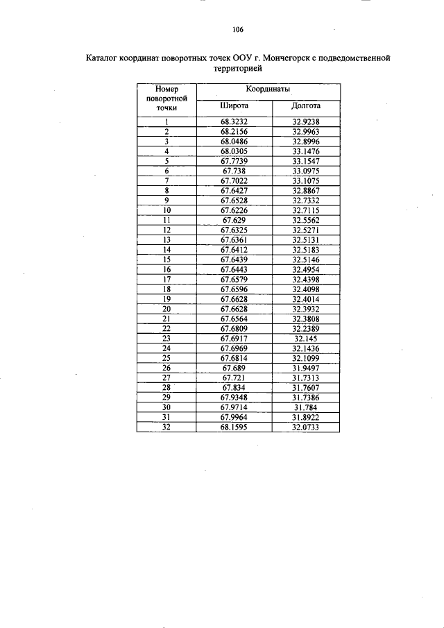
Постановление Губернатора Мурманской области от 31.07.2018 № 81-ПГ
"Об утверждении схемы размещения, использования и охраны охотничьих угодий на территории Мурманской области"
Номер опубликования: 5100201808030009
Дата опубликования: 03.08.2018
Страница №106 из 294:
Увеличить