Официальное опубликование правовых актов
ОФИЦИАЛЬНОЕ ОПУБЛИКОВАНИЕ
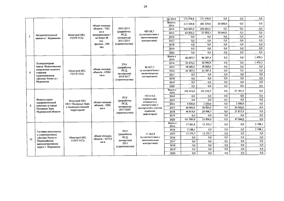
Постановление Правительства Мурманской области от 23.04.2018 № 179-ПП
"О внесении изменений в государственную программу Мурманской области "Развитие физической культуры и спорта"
Номер опубликования: 5100201804260001
Дата опубликования: 26.04.2018
Страница №15 из 20:
Увеличить