Официальное опубликование правовых актов
ОФИЦИАЛЬНОЕ ОПУБЛИКОВАНИЕ
Закон Мурманской области от 22.12.2017 № 2215-01-ЗМО
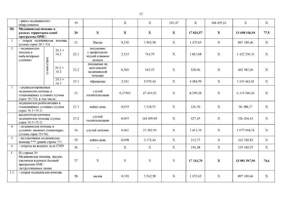
"О внесении изменений в Закон Мурманской области "О Территориальной программе государственных гарантий бесплатного оказания гражданам медицинской помощи в Мурманской области на 2017 год и на плановый период 2018 и 2019 годов"
Номер опубликования: 5100201712250003
Дата опубликования: 25.12.2017
Страница №12 из 21:
Увеличить