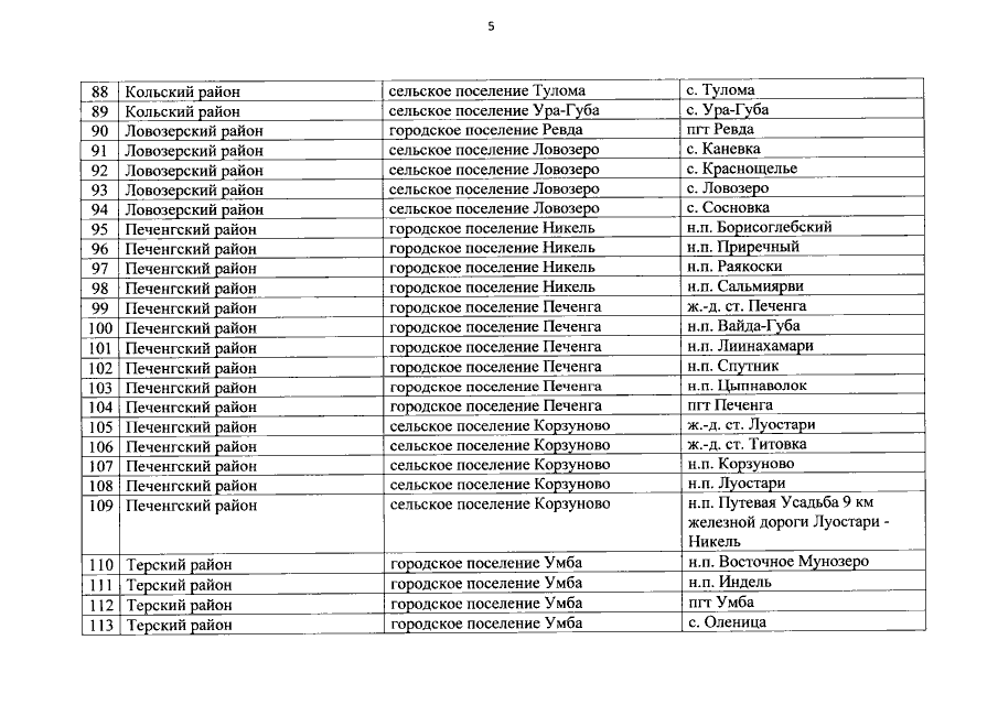
Постановление Правительства Мурманской области от 03.04.2017 № 161-ПП
"Об утверждении перечня местностей на территории Мурманской области, отдаленных от сетей связи, где пользователи могут применять контрольно-кассовую технику в режиме, не предусматривающем обязательную передачу фискальных документов в налоговые органы в электронной форме через оператора фискальных данных"
"Об утверждении перечня местностей на территории Мурманской области, отдаленных от сетей связи, где пользователи могут применять контрольно-кассовую технику в режиме, не предусматривающем обязательную передачу фискальных документов в налоговые органы в электронной форме через оператора фискальных данных"
Номер опубликования: 5100201704060005
Дата опубликования:
06.04.2017
