Официальное опубликование правовых актов
ОФИЦИАЛЬНОЕ ОПУБЛИКОВАНИЕ
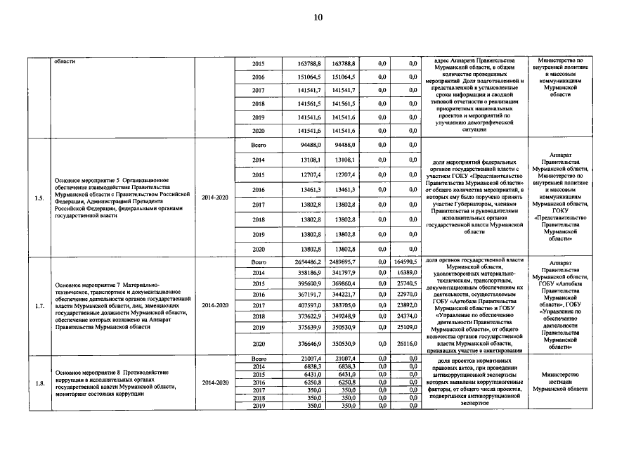
Постановление Правительства Мурманской области от 30.12.2016 № 677-ПП
"О внесении изменений в государственную программу Мурманской области "Государственное управление и гражданское общество"
Номер опубликования: 5100201701060001
Дата опубликования: 06.01.2017
Страница №11 из 36:
Увеличить