Официальное опубликование правовых актов
ОФИЦИАЛЬНОЕ ОПУБЛИКОВАНИЕ
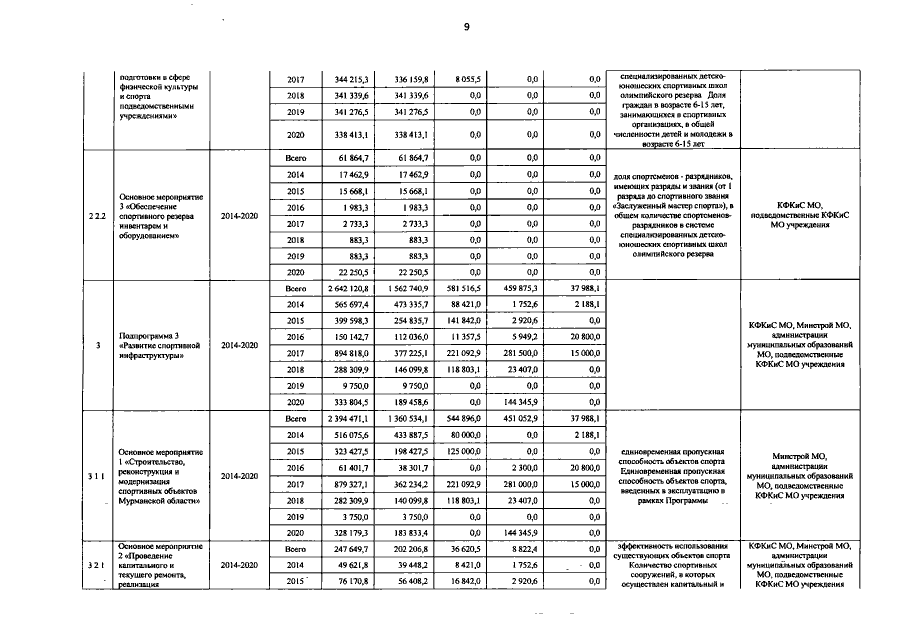
Постановление Правительства Мурманской области от 01.12.2016 № 604-ПП
"О внесении изменений в государственную программу Мурманской области "Развитие физической культуры и спорта"
Номер опубликования: 5100201612050002
Дата опубликования: 05.12.2016
Страница №10 из 19:
Увеличить